
Contenido
Introducción
Comportamiento cíclico y periodicidad
Ejemplo
AirPassenger en R proporciona total de pasajeros mensuales de una aerolínea estadounidense de 1949 a 1960.
frequency period spectrum
[1,] 0.0069 144.0000 0.0811
[2,] 0.0139 72.0000 0.0156
[3,] 0.0208 48.0000 0.0362
[4,] 0.0278 36.0000 0.0001
[5,] 0.0347 28.8000 0.0036
[6,] 0.0417 24.0000 0.0092
[7,] 0.0486 20.5714 0.0021
[8,] 0.0556 18.0000 0.0020
[9,] 0.0625 16.0000 0.0011
[10,] 0.0694 14.4000 0.0008
[11,] 0.0764 13.0909 0.0139
[12,] 0.0833 12.0000 0.8117
[13,] 0.0903 11.0769 0.0128
[14,] 0.0972 10.2857 0.0040
[15,] 0.1042 9.6000 0.0004
[16,] 0.1111 9.0000 0.0004
[17,] 0.1181 8.4706 0.0020
[18,] 0.1250 8.0000 0.0064
[19,] 0.1319 7.5789 0.0007
[20,] 0.1389 7.2000 0.0016
[21,] 0.1458 6.8571 0.0005
[22,] 0.1528 6.5455 0.0005
[23,] 0.1597 6.2609 0.0077
[24,] 0.1667 6.0000 0.2414
[25,] 0.1736 5.7600 0.0008
[26,] 0.1806 5.5385 0.0014
[27,] 0.1875 5.3333 0.0023
[28,] 0.1944 5.1429 0.0000
[29,] 0.2014 4.9655 0.0003
[30,] 0.2083 4.8000 0.0003
[31,] 0.2153 4.6452 0.0009
[32,] 0.2222 4.5000 0.0025
[33,] 0.2292 4.3636 0.0006
[34,] 0.2361 4.2353 0.0003
[35,] 0.2431 4.1143 0.0001
[36,] 0.2500 4.0000 0.0296
[37,] 0.2569 3.8919 0.0002
[38,] 0.2639 3.7895 0.0004
[39,] 0.2708 3.6923 0.0001
[40,] 0.2778 3.6000 0.0002
[41,] 0.2847 3.5122 0.0001
[42,] 0.2917 3.4286 0.0002
[43,] 0.2986 3.3488 0.0004
[44,] 0.3056 3.2727 0.0005
[45,] 0.3125 3.2000 0.0005
[46,] 0.3194 3.1304 0.0002
[47,] 0.3264 3.0638 0.0017
[48,] 0.3333 3.0000 0.0413
[49,] 0.3403 2.9388 0.0001
[50,] 0.3472 2.8800 0.0039
[51,] 0.3542 2.8235 0.0004
[52,] 0.3611 2.7692 0.0000
[53,] 0.3681 2.7170 0.0001
[54,] 0.3750 2.6667 0.0000
[55,] 0.3819 2.6182 0.0010
[56,] 0.3889 2.5714 0.0001
[57,] 0.3958 2.5263 0.0000
[58,] 0.4028 2.4828 0.0015
[59,] 0.4097 2.4407 0.0010
[60,] 0.4167 2.4000 0.0175
[61,] 0.4236 2.3607 0.0003
[62,] 0.4306 2.3226 0.0010
[63,] 0.4375 2.2857 0.0006
[64,] 0.4444 2.2500 0.0002
[65,] 0.4514 2.2154 0.0002
[66,] 0.4583 2.1818 0.0007
[67,] 0.4653 2.1493 0.0005
[68,] 0.4722 2.1176 0.0008
[69,] 0.4792 2.0870 0.0006
[70,] 0.4861 2.0571 0.0000
[71,] 0.4931 2.0282 0.0005
[72,] 0.5000 2.0000 0.0013
Contenido
Introducción
Comportamiento cíclico y periodicidad
Ejemplo
Considere \[x_t=2 \cos \left( 2 \pi \frac{t+15}{50} \right)+ w_t\] para \(t=1,...,500.\)
El modelo general \[x_t = A \cos(2\pi \omega t + \phi) + w_t\] con amplitud \(A\), frecuencia \(\omega\), y fase \(\phi\).
El ejemplo anterior considera:
Ahora considere el modelo: \[x_t=A \cos(2\pi \omega t + \phi)\] con amplitud \(A\), frecuencia \(\omega\), y fase \(\phi\) (que determina dónde inicia la función coseno).
Usando la identidad trigonométrica \[\cos(\alpha\pm\beta)=\cos(\alpha)\cos(\beta)\mp \sin(\alpha)\sin(\beta),\] se puede reescribir el modelo como: \[x_t=U_1 \cos(2\pi \omega t )+U_2 \sin(2\pi \omega t ),\] donde \(U_1=A \cos\phi\) y \(U_2=-A \sin\phi\).
\[x_t=U_1 \cos(2\pi \omega t )+U_2 \sin(2\pi \omega t ),\] donde \(U_1=A \cos\phi\) y \(U_2=-A \sin\phi\).
Suponga que \(U_1\) y \(U_2\) son variables aleatorias no correlacionadas con media \(0\) y variancia \(\sigma^2\).
Se puede comprobar que el proceso estocástico \(x_t\) es estacionario con media \(0\) y su función de autocovariancia es dada por:
\[\gamma_X(h)=Cov(x_{t+h},x_t)=\sigma^2 \cos(2 \pi \omega h).\]
Note que el modelo \[x_t=U_1 cos(2\pi \omega t )+U_2 sin(2\pi \omega t ),\] es función de su frecuencia, \(\omega\).
Si \(\omega=1\), la serie realiza un ciclo cada unidad de tiempo.
Si \(\omega=0.5\), la serie realiza un ciclo cada 2 unidades de tiempo.
Si \(\omega=0.25\), la serie realiza un ciclo cada 4 unidades de tiempo.
En la práctica, al observar tiempos discretos, necesitamos por lo menos 2 puntos para determinar un ciclo, entonces nos interesa frecuencia máxima de 0.5 ciclos por unidad de tiempo.
\[x_t=\sum_{k=1}^q U_{k1} cos(2\pi \omega_k t )+U_{k2} sin(2\pi \omega_k t ),\] donde \(U_{k1},U_{k2}\), para \(k=1,...,q\) son v.a. con media cero con variancia \(\sigma_k^2\) y no correlacionadas, y \(\omega_k\) son frecuencias distintas.
Contenido
Introducción
Comportamiento cíclico y periodicidad
Ejemplo
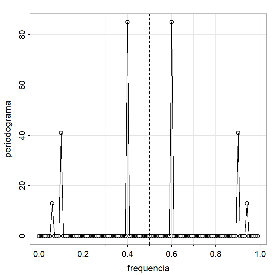
\[x_t=\sum\limits_{k=1}^q U_{k1} \cos(2\pi \omega_k t )+U_{k2} \sin(2\pi \omega_k t)= x_{t1}+x_{t2}+x_{t3}.\]
Cada término está dado por: \[x_{t1}= 2 \cos\left(2\pi t \frac{6}{100} \right)+3 \sin\left(2\pi t \frac{6}{100}\right)\] \[x_{t2}= 4 \cos\left(2\pi t \frac{10}{100}\right)+5 \sin\left(2\pi t \frac{10}{100}\right)\] \[x_{t3}= 6 \cos\left(2\pi t \frac{40}{100}\right)+7 \sin\left(2\pi t \frac{40}{100}\right)\]
Interprete la frecuencia \(\omega\) y el ciclo \(1/\omega\) de cada componente.
x1 = 2*cos(2*pi*1:100*6/100) + 3*sin(2*pi*1:100*6/100)
x2 = 4*cos(2*pi*1:100*10/100) + 5*sin(2*pi*1:100*10/100)
x3 = 6*cos(2*pi*1:100*40/100) + 7*sin(2*pi*1:100*40/100)
x = x1 + x2 + x3
par(mfrow=c(2,2))
tsplot(x1, ylim=c(-10,10), main = expression(omega==6/100~~~A^2==13))
tsplot(x2, ylim=c(-10,10), main = expression(omega==10/100~~~A^2==41))
tsplot(x3, ylim=c(-10,10), main = expression(omega==40/100~~~A^2==85))
tsplot(x, ylim=c(-16,16), main="suma")Sea una serie temporal \(x_1,...,x_T\) con \(T\) impar.
Se puede escribir \(x_t\) como
\[x_t = a_0 + \sum_{j=1}^{(T-1)/2} \left[ a_j \cos\left(2\pi t \frac{j}{T}\right)+b_j \sin\left(2\pi t \frac{j}{T}\right) \right].\]
Si \(T\) es par, se puede modificar la ecuación sumando a \(\left(\frac{T}{2}-1\right)\) y agregar un componente adicional por \(a_{T/2} \cos\left(2\pi t~\frac{1}{2}\right)=a_{T/2}(-1)^t\).
Note que \(a_0\), \(a_j\) y \(b_j\) son desconocidos y requieren ser estimados. Considerando como un modelo de regresión, los coeficientes pueden ser calculados por: \(a_0=\bar{x}\)
\[a_j=\frac{2}{T}\sum_{t=1}^T x_t \cos\left(2\pi t\frac{j}{T}\right),~~~\text{y}~~~ b_j=\frac{2}{T}\sum_{t=1}^T x_t \sin\left(2\pi t\frac{j}{T}\right).\]
Los coeficientes \(a_j\) y \(b_j\) tienen el significado de cuán grande es la amplitud de cada componente de frecuencias \(\frac{j}{T}\).
Por consiguiente, podemos definir el periodograma como \[P\left(\frac{j}{T}\right)=a_j^2+b_j^2,~ \text{para}~~ j=1,...,\frac{(T-1)}{2}.\]
Note que el periodograma expresa la serie temporal \(x_t\) en sumas de los componentes de frecuencias (oscilación sinusoidal) multiplicado por su variancia \(\sigma_j^2\).
Valores altos de \(P\left(\frac{j}{T}\right)\) implica que la contribución de la frecuencia \(\omega_j=\frac{j}{T}\) es importante. Valores pequeños implica que son ruidos.
En la práctica, es común enfrentar series largas y el uso computacional del enfoque de regresión no es eficiente.
Se utiliza la Transformada Discreta de Fourier (TDF) que se discutirá con más detalles:
\[\begin{align} d\left(\frac{j}{T}\right)&=\frac{1}{T^{1/2}}\sum_{t=1}^T x_t \exp{\left(-2 \pi it\frac{j}{T}\right)}\\ &= \frac{1}{T^{1/2}}\sum_{t=1}^T x_t \cos\left(2\pi t~\frac{j}{T}\right)- i \sum_{t=1}^T x_t \sin\left(2\pi t\frac{j}{T}\right). \end{align}\]
\[x_t=\sum\limits_{k=1}^q U_{k1} \cos(2\pi \omega_k t )+U_{k2} \sin(2\pi \omega_k t)= x_{t1}+x_{t2}+x_{t3}.\]
\[x_{t1}= 2 \cos\left(2\pi t \frac{6}{100} \right)+3 \sin\left(2\pi t \frac{6}{100}\right)\]
\[x_{t2}= 4 \cos\left(2\pi t \frac{10}{100}\right)+5 \sin\left(2\pi t \frac{10}{100}\right)\]
\[x_{t3}= 6 \cos\left(2\pi t \frac{40}{100}\right)+7 \sin\left(2\pi t \frac{40}{100}\right)\]
x1 = 2*cos(2*pi*1:100*6/100) + 3*sin(2*pi*1:100*6/100)
x2 = 4*cos(2*pi*1:100*10/100) + 5*sin(2*pi*1:100*10/100)
x3 = 6*cos(2*pi*1:100*40/100) + 7*sin(2*pi*1:100*40/100)
x = x1 + x2 + x3
par(mfrow=c(2,2))
tsplot(x1, ylim=c(-10,10), main = expression(omega==6/100~~~A^2==13))
tsplot(x2, ylim=c(-10,10), main = expression(omega==10/100~~~A^2==41))
tsplot(x3, ylim=c(-10,10), main = expression(omega==40/100~~~A^2==85))
tsplot(x, ylim=c(-16,16), main="suma") Fr P
[1,] 0.00 0
[2,] 0.01 0
[3,] 0.02 0
[4,] 0.03 0
[5,] 0.04 0
[6,] 0.05 0
[7,] 0.06 13
[8,] 0.07 0
[9,] 0.08 0
[10,] 0.09 0
[11,] 0.10 41
[12,] 0.11 0
[13,] 0.12 0
[14,] 0.13 0
[15,] 0.14 0
[16,] 0.15 0
[17,] 0.16 0
[18,] 0.17 0
[19,] 0.18 0
[20,] 0.19 0
[21,] 0.20 0
[22,] 0.21 0
[23,] 0.22 0
[24,] 0.23 0
[25,] 0.24 0
[26,] 0.25 0
[27,] 0.26 0
[28,] 0.27 0
[29,] 0.28 0
[30,] 0.29 0
[31,] 0.30 0
[32,] 0.31 0
[33,] 0.32 0
[34,] 0.33 0
[35,] 0.34 0
[36,] 0.35 0
[37,] 0.36 0
[38,] 0.37 0
[39,] 0.38 0
[40,] 0.39 0
[41,] 0.40 85
[42,] 0.41 0
[43,] 0.42 0
[44,] 0.43 0
[45,] 0.44 0
[46,] 0.45 0
[47,] 0.46 0
[48,] 0.47 0
[49,] 0.48 0
[50,] 0.49 0
[51,] 0.50 0
[52,] 0.51 0
[53,] 0.52 0
[54,] 0.53 0
[55,] 0.54 0
[56,] 0.55 0
[57,] 0.56 0
[58,] 0.57 0
[59,] 0.58 0
[60,] 0.59 0
[61,] 0.60 85
[62,] 0.61 0
[63,] 0.62 0
[64,] 0.63 0
[65,] 0.64 0
[66,] 0.65 0
[67,] 0.66 0
[68,] 0.67 0
[69,] 0.68 0
[70,] 0.69 0
[71,] 0.70 0
[72,] 0.71 0
[73,] 0.72 0
[74,] 0.73 0
[75,] 0.74 0
[76,] 0.75 0
[77,] 0.76 0
[78,] 0.77 0
[79,] 0.78 0
[80,] 0.79 0
[81,] 0.80 0
[82,] 0.81 0
[83,] 0.82 0
[84,] 0.83 0
[85,] 0.84 0
[86,] 0.85 0
[87,] 0.86 0
[88,] 0.87 0
[89,] 0.88 0
[90,] 0.89 0
[91,] 0.90 41
[92,] 0.91 0
[93,] 0.92 0
[94,] 0.93 0
[95,] 0.94 13
[96,] 0.95 0
[97,] 0.96 0
[98,] 0.97 0
[99,] 0.98 0
[100,] 0.99 0
n <- length(star)
Per <- Mod(fft(star-mean(star)))^2/n
Freq <- (1:n -1)/n
cbind(Freq, 1/Freq, Per) %>% round(4)Time Series:
Start = 1
End = 600
Frequency = 1
Freq 1/Freq Per
1 0.0000 Inf 0.0000
2 0.0017 600.0000 0.4508
3 0.0033 300.0000 0.6384
4 0.0050 200.0000 0.6520
5 0.0067 150.0000 0.9562
6 0.0083 120.0000 1.1022
7 0.0100 100.0000 1.5719
8 0.0117 85.7143 1.9197
9 0.0133 75.0000 2.6604
10 0.0150 66.6667 3.3605
11 0.0167 60.0000 4.6021
12 0.0183 54.5455 6.0006
13 0.0200 50.0000 8.2993
14 0.0217 46.1538 11.3051
15 0.0233 42.8571 16.2616
16 0.0250 40.0000 23.8493
17 0.0267 37.5000 37.6071
18 0.0283 35.2941 64.1001
19 0.0300 33.3333 127.6647
20 0.0317 31.5789 339.5142
21 0.0333 30.0000 2136.9626
22 0.0350 28.5714 11020.7997
23 0.0367 27.2727 643.6224
24 0.0383 26.0870 215.2119
25 0.0400 25.0000 108.5316
26 0.0417 24.0000 9011.0018
27 0.0433 23.0769 44.9906
28 0.0450 22.2222 32.8288
29 0.0467 21.4286 25.1268
30 0.0483 20.6897 19.9459
31 0.0500 20.0000 16.2750
32 0.0517 19.3548 13.5499
33 0.0533 18.7500 11.4988
34 0.0550 18.1818 9.8560
35 0.0567 17.6471 8.5797
36 0.0583 17.1429 7.4799
37 0.0600 16.6667 6.6090
38 0.0617 16.2162 5.7874
39 0.0633 15.7895 5.1047
40 0.0650 15.3846 4.3333
41 0.0667 15.0000 3.4350
42 0.0683 14.6341 0.8665
43 0.0700 14.2857 7.7598
44 0.0717 13.9535 4.9611
45 0.0733 13.6364 4.2177
46 0.0750 13.3333 3.7277
47 0.0767 13.0435 3.4362
48 0.0783 12.7660 3.1311
49 0.0800 12.5000 2.9509
50 0.0817 12.2449 2.7162
51 0.0833 12.0000 4.2694
52 0.0850 11.7647 2.3972
53 0.0867 11.5385 2.3082
54 0.0883 11.3208 2.1412
55 0.0900 11.1111 2.0779
56 0.0917 10.9091 1.9314
57 0.0933 10.7143 1.8885
58 0.0950 10.5263 1.7593
59 0.0967 10.3448 1.7350
60 0.0983 10.1695 1.6256
61 0.1000 10.0000 1.6308
62 0.1017 9.8361 1.5969
63 0.1033 9.6774 5.2114
64 0.1050 9.5238 1.1494
65 0.1067 9.3750 1.2351
66 0.1083 9.2308 1.1590
67 0.1100 9.0909 1.1785
68 0.1117 8.9552 1.0883
69 0.1133 8.8235 1.1045
70 0.1150 8.6957 1.0139
71 0.1167 8.5714 1.0318
72 0.1183 8.4507 0.9424
73 0.1200 8.3333 0.9627
74 0.1217 8.2192 0.8742
75 0.1233 8.1081 0.8965
76 0.1250 8.0000 0.8077
77 0.1267 7.8947 0.8307
78 0.1283 7.7922 0.7390
79 0.1300 7.6923 0.7597
80 0.1317 7.5949 0.6575
81 0.1333 7.5000 0.6646
82 0.1350 7.4074 0.5175
83 0.1367 7.3171 0.4524
84 0.1383 7.2289 4.8321
85 0.1400 7.1429 1.1347
86 0.1417 7.0588 0.8650
87 0.1433 6.9767 0.8202
88 0.1450 6.8966 0.7196
89 0.1467 6.8182 0.7311
90 0.1483 6.7416 0.6505
91 0.1500 6.6667 0.6763
92 0.1517 6.5934 0.6016
93 0.1533 6.5217 0.6337
94 0.1550 6.4516 0.5612
95 0.1567 6.3830 0.5968
96 0.1583 6.3158 0.5249
97 0.1600 6.2500 0.5625
98 0.1617 6.1856 0.4894
99 0.1633 6.1224 0.5277
100 0.1650 6.0606 0.4505
101 0.1667 6.0000 0.6950
102 0.1683 5.9406 0.3954
103 0.1700 5.8824 0.4188
104 0.1717 5.8252 0.4149
105 0.1733 5.7692 1.2129
106 0.1750 5.7143 0.6333
107 0.1767 5.6604 0.5802
108 0.1783 5.6075 0.4952
109 0.1800 5.5556 0.5162
110 0.1817 5.5046 0.4499
111 0.1833 5.4545 0.4837
112 0.1850 5.4054 0.4218
113 0.1867 5.3571 0.4606
114 0.1883 5.3097 0.4004
115 0.1900 5.2632 0.4418
116 0.1917 5.2174 0.3826
117 0.1933 5.1724 0.4257
118 0.1950 5.1282 0.3672
119 0.1967 5.0847 0.4117
120 0.1983 5.0420 0.3540
121 0.2000 5.0000 0.3995
122 0.2017 4.9587 0.3433
123 0.2033 4.9180 0.3907
124 0.2050 4.8780 0.3429
125 0.2067 4.8387 0.5698
126 0.2083 4.8000 2.3895
127 0.2100 4.7619 0.3545
128 0.2117 4.7244 0.2976
129 0.2133 4.6875 0.3482
130 0.2150 4.6512 0.2904
131 0.2167 4.6154 0.3401
132 0.2183 4.5802 0.2825
133 0.2200 4.5455 0.3320
134 0.2217 4.5113 0.2747
135 0.2233 4.4776 0.3242
136 0.2250 4.4444 0.2673
137 0.2267 4.4118 0.3168
138 0.2283 4.3796 0.2605
139 0.2300 4.3478 0.3099
140 0.2317 4.3165 0.2546
141 0.2333 4.2857 0.3038
142 0.2350 4.2553 0.2508
143 0.2367 4.2254 0.3000
144 0.2383 4.1958 0.2570
145 0.2400 4.1667 0.3336
146 0.2417 4.1379 1.0497
147 0.2433 4.1096 0.3015
148 0.2450 4.0816 0.2207
149 0.2467 4.0541 0.2799
150 0.2483 4.0268 0.2156
151 0.2500 4.0000 2.7733
152 0.2517 3.9735 0.2111
153 0.2533 3.9474 0.2682
154 0.2550 3.9216 0.2067
155 0.2567 3.8961 0.2637
156 0.2583 3.8710 0.2025
157 0.2600 3.8462 0.2598
158 0.2617 3.8217 0.1986
159 0.2633 3.7975 0.2567
160 0.2650 3.7736 0.1953
161 0.2667 3.7500 0.2552
162 0.2683 3.7267 0.1935
163 0.2700 3.7037 0.2579
164 0.2717 3.6810 0.1977
165 0.2733 3.6585 0.2878
166 0.2750 3.6364 0.3945
167 0.2767 3.6145 0.3509
168 0.2783 3.5928 0.1864
169 0.2800 3.5714 0.2199
170 0.2817 3.5503 0.1713
171 0.2833 3.5294 0.2190
172 0.2850 3.5088 0.1673
173 0.2867 3.4884 0.2176
174 0.2883 3.4682 0.1641
175 0.2900 3.4483 0.2157
176 0.2917 3.4286 0.9117
177 0.2933 3.4091 0.2138
178 0.2950 3.3898 0.1587
179 0.2967 3.3708 0.2121
180 0.2983 3.3520 0.1564
181 0.3000 3.3333 0.2109
182 0.3017 3.3149 0.1548
183 0.3033 3.2967 0.2112
184 0.3050 3.2787 0.1551
185 0.3067 3.2609 0.2175
186 0.3083 3.2432 0.1691
187 0.3100 3.2258 0.6061
188 0.3117 3.2086 0.1334
189 0.3133 3.1915 0.1792
190 0.3150 3.1746 0.1340
191 0.3167 3.1579 0.1843
192 0.3183 3.1414 0.1338
193 0.3200 3.1250 0.1847
194 0.3217 3.1088 0.1324
195 0.3233 3.0928 0.1839
196 0.3250 3.0769 0.1308
197 0.3267 3.0612 0.1826
198 0.3283 3.0457 0.1291
199 0.3300 3.0303 0.1812
200 0.3317 3.0151 0.1274
201 0.3333 3.0000 0.4717
202 0.3350 2.9851 0.1260
203 0.3367 2.9703 0.1793
204 0.3383 2.9557 0.1252
205 0.3400 2.9412 0.1803
206 0.3417 2.9268 0.1275
207 0.3433 2.9126 0.1969
208 0.3450 2.8986 0.1833
209 0.3467 2.8846 0.1507
210 0.3483 2.8708 0.1084
211 0.3500 2.8571 0.1591
212 0.3517 2.8436 0.1090
213 0.3533 2.8302 0.1589
214 0.3550 2.8169 0.1076
215 0.3567 2.8037 0.1571
216 0.3583 2.7907 0.1054
217 0.3600 2.7778 0.1543
218 0.3617 2.7650 0.1026
219 0.3633 2.7523 0.1505
220 0.3650 2.7397 0.0990
221 0.3667 2.7273 0.1453
222 0.3683 2.7149 0.0941
223 0.3700 2.7027 0.1372
224 0.3717 2.6906 0.0865
225 0.3733 2.6786 0.1227
226 0.3750 2.6667 0.0723
227 0.3767 2.6549 0.0881
228 0.3783 2.6432 0.1421
229 0.3800 2.6316 1.1014
230 0.3817 2.6201 0.2438
231 0.3833 2.6087 0.2496
232 0.3850 2.5974 0.1522
233 0.3867 2.5862 0.2051
234 0.3883 2.5751 0.1325
235 0.3900 2.5641 0.1894
236 0.3917 2.5532 0.1237
237 0.3933 2.5424 0.1811
238 0.3950 2.5316 0.1184
239 0.3967 2.5210 0.1758
240 0.3983 2.5105 0.1148
241 0.4000 2.5000 0.1722
242 0.4017 2.4896 0.1122
243 0.4033 2.4793 0.1695
244 0.4050 2.4691 0.1103
245 0.4067 2.4590 0.1676
246 0.4083 2.4490 0.1091
247 0.4100 2.4390 0.1673
248 0.4117 2.4291 0.1106
249 0.4133 2.4194 0.1944
250 0.4150 2.4096 0.0950
251 0.4167 2.4000 1.9773
252 0.4183 2.3904 0.1000
253 0.4200 2.3810 0.1562
254 0.4217 2.3715 0.0997
255 0.4233 2.3622 0.1555
256 0.4250 2.3529 0.0988
257 0.4267 2.3438 0.1544
258 0.4283 2.3346 0.0978
259 0.4300 2.3256 0.1532
260 0.4317 2.3166 0.0966
261 0.4333 2.3077 0.1517
262 0.4350 2.2989 0.0952
263 0.4367 2.2901 0.1499
264 0.4383 2.2814 0.0935
265 0.4400 2.2727 0.1473
266 0.4417 2.2642 0.0907
267 0.4433 2.2556 0.1424
268 0.4450 2.2472 0.0841
269 0.4467 2.2388 0.1214
270 0.4483 2.2305 2.3036
271 0.4500 2.2222 0.1830
272 0.4517 2.2140 0.1071
273 0.4533 2.2059 0.1608
274 0.4550 2.1978 0.1000
275 0.4567 2.1898 0.1557
276 0.4583 2.1818 2.4969
277 0.4600 2.1739 0.1529
278 0.4617 2.1661 0.0952
279 0.4633 2.1583 0.1507
280 0.4650 2.1505 0.0934
281 0.4667 2.1429 0.1485
282 0.4683 2.1352 0.0915
283 0.4700 2.1277 0.1458
284 0.4717 2.1201 0.0890
285 0.4733 2.1127 0.1419
286 0.4750 2.1053 0.0849
287 0.4767 2.0979 0.1344
288 0.4783 2.0906 0.0755
289 0.4800 2.0833 0.1109
290 0.4817 2.0761 0.0253
291 0.4833 2.0690 0.4761
292 0.4850 2.0619 0.1510
293 0.4867 2.0548 0.1919
294 0.4883 2.0478 0.1181
295 0.4900 2.0408 0.1751
296 0.4917 2.0339 0.1108
297 0.4933 2.0270 0.1696
298 0.4950 2.0202 0.1079
299 0.4967 2.0134 0.1673
300 0.4983 2.0067 0.1068
301 0.5000 2.0000 6.0000
302 0.5017 1.9934 0.1068
303 0.5033 1.9868 0.1673
304 0.5050 1.9802 0.1079
305 0.5067 1.9737 0.1696
306 0.5083 1.9672 0.1108
307 0.5100 1.9608 0.1751
308 0.5117 1.9544 0.1181
309 0.5133 1.9481 0.1919
310 0.5150 1.9417 0.1510
311 0.5167 1.9355 0.4761
312 0.5183 1.9293 0.0253
313 0.5200 1.9231 0.1109
314 0.5217 1.9169 0.0755
315 0.5233 1.9108 0.1344
316 0.5250 1.9048 0.0849
317 0.5267 1.8987 0.1419
318 0.5283 1.8927 0.0890
319 0.5300 1.8868 0.1458
320 0.5317 1.8809 0.0915
321 0.5333 1.8750 0.1485
322 0.5350 1.8692 0.0934
323 0.5367 1.8634 0.1507
324 0.5383 1.8576 0.0952
325 0.5400 1.8519 0.1529
326 0.5417 1.8462 2.4969
327 0.5433 1.8405 0.1557
328 0.5450 1.8349 0.1000
329 0.5467 1.8293 0.1608
330 0.5483 1.8237 0.1071
331 0.5500 1.8182 0.1830
332 0.5517 1.8127 2.3036
333 0.5533 1.8072 0.1214
334 0.5550 1.8018 0.0841
335 0.5567 1.7964 0.1424
336 0.5583 1.7910 0.0907
337 0.5600 1.7857 0.1473
338 0.5617 1.7804 0.0935
339 0.5633 1.7751 0.1499
340 0.5650 1.7699 0.0952
341 0.5667 1.7647 0.1517
342 0.5683 1.7595 0.0966
343 0.5700 1.7544 0.1532
344 0.5717 1.7493 0.0978
345 0.5733 1.7442 0.1544
346 0.5750 1.7391 0.0988
347 0.5767 1.7341 0.1555
348 0.5783 1.7291 0.0997
349 0.5800 1.7241 0.1562
350 0.5817 1.7192 0.1000
351 0.5833 1.7143 1.9773
352 0.5850 1.7094 0.0950
353 0.5867 1.7045 0.1944
354 0.5883 1.6997 0.1106
355 0.5900 1.6949 0.1673
356 0.5917 1.6901 0.1091
357 0.5933 1.6854 0.1676
358 0.5950 1.6807 0.1103
359 0.5967 1.6760 0.1695
360 0.5983 1.6713 0.1122
361 0.6000 1.6667 0.1722
362 0.6017 1.6620 0.1148
363 0.6033 1.6575 0.1758
364 0.6050 1.6529 0.1184
365 0.6067 1.6484 0.1811
366 0.6083 1.6438 0.1237
367 0.6100 1.6393 0.1894
368 0.6117 1.6349 0.1325
369 0.6133 1.6304 0.2051
370 0.6150 1.6260 0.1522
371 0.6167 1.6216 0.2496
372 0.6183 1.6173 0.2438
373 0.6200 1.6129 1.1014
374 0.6217 1.6086 0.1421
375 0.6233 1.6043 0.0881
376 0.6250 1.6000 0.0723
377 0.6267 1.5957 0.1227
378 0.6283 1.5915 0.0865
379 0.6300 1.5873 0.1372
380 0.6317 1.5831 0.0941
381 0.6333 1.5789 0.1453
382 0.6350 1.5748 0.0990
383 0.6367 1.5707 0.1505
384 0.6383 1.5666 0.1026
385 0.6400 1.5625 0.1543
386 0.6417 1.5584 0.1054
387 0.6433 1.5544 0.1571
388 0.6450 1.5504 0.1076
389 0.6467 1.5464 0.1589
390 0.6483 1.5424 0.1090
391 0.6500 1.5385 0.1591
392 0.6517 1.5345 0.1084
393 0.6533 1.5306 0.1507
394 0.6550 1.5267 0.1833
395 0.6567 1.5228 0.1969
396 0.6583 1.5190 0.1275
397 0.6600 1.5152 0.1803
398 0.6617 1.5113 0.1252
399 0.6633 1.5075 0.1793
400 0.6650 1.5038 0.1260
401 0.6667 1.5000 0.4717
402 0.6683 1.4963 0.1274
403 0.6700 1.4925 0.1812
404 0.6717 1.4888 0.1291
405 0.6733 1.4851 0.1826
406 0.6750 1.4815 0.1308
407 0.6767 1.4778 0.1839
408 0.6783 1.4742 0.1324
409 0.6800 1.4706 0.1847
410 0.6817 1.4670 0.1338
411 0.6833 1.4634 0.1843
412 0.6850 1.4599 0.1340
413 0.6867 1.4563 0.1792
414 0.6883 1.4528 0.1334
415 0.6900 1.4493 0.6061
416 0.6917 1.4458 0.1691
417 0.6933 1.4423 0.2175
418 0.6950 1.4388 0.1551
419 0.6967 1.4354 0.2112
420 0.6983 1.4320 0.1548
421 0.7000 1.4286 0.2109
422 0.7017 1.4252 0.1564
423 0.7033 1.4218 0.2121
424 0.7050 1.4184 0.1587
425 0.7067 1.4151 0.2138
426 0.7083 1.4118 0.9117
427 0.7100 1.4085 0.2157
428 0.7117 1.4052 0.1641
429 0.7133 1.4019 0.2176
430 0.7150 1.3986 0.1673
431 0.7167 1.3953 0.2190
432 0.7183 1.3921 0.1713
433 0.7200 1.3889 0.2199
434 0.7217 1.3857 0.1864
435 0.7233 1.3825 0.3509
436 0.7250 1.3793 0.3945
437 0.7267 1.3761 0.2878
438 0.7283 1.3730 0.1977
439 0.7300 1.3699 0.2579
440 0.7317 1.3667 0.1935
441 0.7333 1.3636 0.2552
442 0.7350 1.3605 0.1953
443 0.7367 1.3575 0.2567
444 0.7383 1.3544 0.1986
445 0.7400 1.3514 0.2598
446 0.7417 1.3483 0.2025
447 0.7433 1.3453 0.2637
448 0.7450 1.3423 0.2067
449 0.7467 1.3393 0.2682
450 0.7483 1.3363 0.2111
451 0.7500 1.3333 2.7733
452 0.7517 1.3304 0.2156
453 0.7533 1.3274 0.2799
454 0.7550 1.3245 0.2207
455 0.7567 1.3216 0.3015
456 0.7583 1.3187 1.0497
457 0.7600 1.3158 0.3336
458 0.7617 1.3129 0.2570
459 0.7633 1.3100 0.3000
460 0.7650 1.3072 0.2508
461 0.7667 1.3043 0.3038
462 0.7683 1.3015 0.2546
463 0.7700 1.2987 0.3099
464 0.7717 1.2959 0.2605
465 0.7733 1.2931 0.3168
466 0.7750 1.2903 0.2673
467 0.7767 1.2876 0.3242
468 0.7783 1.2848 0.2747
469 0.7800 1.2821 0.3320
470 0.7817 1.2793 0.2825
471 0.7833 1.2766 0.3401
472 0.7850 1.2739 0.2904
473 0.7867 1.2712 0.3482
474 0.7883 1.2685 0.2976
475 0.7900 1.2658 0.3545
476 0.7917 1.2632 2.3895
477 0.7933 1.2605 0.5698
478 0.7950 1.2579 0.3429
479 0.7967 1.2552 0.3907
480 0.7983 1.2526 0.3433
481 0.8000 1.2500 0.3995
482 0.8017 1.2474 0.3540
483 0.8033 1.2448 0.4117
484 0.8050 1.2422 0.3672
485 0.8067 1.2397 0.4257
486 0.8083 1.2371 0.3826
487 0.8100 1.2346 0.4418
488 0.8117 1.2320 0.4004
489 0.8133 1.2295 0.4606
490 0.8150 1.2270 0.4218
491 0.8167 1.2245 0.4837
492 0.8183 1.2220 0.4499
493 0.8200 1.2195 0.5162
494 0.8217 1.2170 0.4952
495 0.8233 1.2146 0.5802
496 0.8250 1.2121 0.6333
497 0.8267 1.2097 1.2129
498 0.8283 1.2072 0.4149
499 0.8300 1.2048 0.4188
500 0.8317 1.2024 0.3954
501 0.8333 1.2000 0.6950
502 0.8350 1.1976 0.4505
503 0.8367 1.1952 0.5277
504 0.8383 1.1928 0.4894
505 0.8400 1.1905 0.5625
506 0.8417 1.1881 0.5249
507 0.8433 1.1858 0.5968
508 0.8450 1.1834 0.5612
509 0.8467 1.1811 0.6337
510 0.8483 1.1788 0.6016
511 0.8500 1.1765 0.6763
512 0.8517 1.1742 0.6505
513 0.8533 1.1719 0.7311
514 0.8550 1.1696 0.7196
515 0.8567 1.1673 0.8202
516 0.8583 1.1650 0.8650
517 0.8600 1.1628 1.1347
518 0.8617 1.1605 4.8321
519 0.8633 1.1583 0.4524
520 0.8650 1.1561 0.5175
521 0.8667 1.1538 0.6646
522 0.8683 1.1516 0.6575
523 0.8700 1.1494 0.7597
524 0.8717 1.1472 0.7390
525 0.8733 1.1450 0.8307
526 0.8750 1.1429 0.8077
527 0.8767 1.1407 0.8965
528 0.8783 1.1385 0.8742
529 0.8800 1.1364 0.9627
530 0.8817 1.1342 0.9424
531 0.8833 1.1321 1.0318
532 0.8850 1.1299 1.0139
533 0.8867 1.1278 1.1045
534 0.8883 1.1257 1.0883
535 0.8900 1.1236 1.1785
536 0.8917 1.1215 1.1590
537 0.8933 1.1194 1.2351
538 0.8950 1.1173 1.1494
539 0.8967 1.1152 5.2114
540 0.8983 1.1132 1.5969
541 0.9000 1.1111 1.6308
542 0.9017 1.1091 1.6256
543 0.9033 1.1070 1.7350
544 0.9050 1.1050 1.7593
545 0.9067 1.1029 1.8885
546 0.9083 1.1009 1.9314
547 0.9100 1.0989 2.0779
548 0.9117 1.0969 2.1412
549 0.9133 1.0949 2.3082
550 0.9150 1.0929 2.3972
551 0.9167 1.0909 4.2694
552 0.9183 1.0889 2.7162
553 0.9200 1.0870 2.9509
554 0.9217 1.0850 3.1311
555 0.9233 1.0830 3.4362
556 0.9250 1.0811 3.7277
557 0.9267 1.0791 4.2177
558 0.9283 1.0772 4.9611
559 0.9300 1.0753 7.7598
560 0.9317 1.0733 0.8665
561 0.9333 1.0714 3.4350
562 0.9350 1.0695 4.3333
563 0.9367 1.0676 5.1047
564 0.9383 1.0657 5.7874
565 0.9400 1.0638 6.6090
566 0.9417 1.0619 7.4799
567 0.9433 1.0601 8.5797
568 0.9450 1.0582 9.8560
569 0.9467 1.0563 11.4988
570 0.9483 1.0545 13.5499
571 0.9500 1.0526 16.2750
572 0.9517 1.0508 19.9459
573 0.9533 1.0490 25.1268
574 0.9550 1.0471 32.8288
575 0.9567 1.0453 44.9906
576 0.9583 1.0435 9011.0018
577 0.9600 1.0417 108.5316
578 0.9617 1.0399 215.2119
579 0.9633 1.0381 643.6224
580 0.9650 1.0363 11020.7997
581 0.9667 1.0345 2136.9626
582 0.9683 1.0327 339.5142
583 0.9700 1.0309 127.6647
584 0.9717 1.0292 64.1001
585 0.9733 1.0274 37.6071
586 0.9750 1.0256 23.8493
587 0.9767 1.0239 16.2616
588 0.9783 1.0221 11.3051
589 0.9800 1.0204 8.2993
590 0.9817 1.0187 6.0006
591 0.9833 1.0169 4.6021
592 0.9850 1.0152 3.3605
593 0.9867 1.0135 2.6604
594 0.9883 1.0118 1.9197
595 0.9900 1.0101 1.5719
596 0.9917 1.0084 1.1022
597 0.9933 1.0067 0.9562
598 0.9950 1.0050 0.6520
599 0.9967 1.0033 0.6384
600 0.9983 1.0017 0.4508
Representación espectral de procesos estacionarios.
Es necesario entender los fundamentos teóricos de los conceptos de frecuencia (poblacional) antes de entrar al caso cuando se tiene series observadas (muestral).
Vamos a ver la definición de la densidad espectral y su relación con un proceso estacionario.
Para replicar los ejemplos de esta presentación, necesitan estos paquetes: